Zmiany w budżecie Gminy Bojanowo na 2025 rok
Najważniejsze zmiany w budżecie Gminy Bojanowo na 2025 rok
Dochody i wydatki ogółem
-
Dochody: zmniejszono o 94 431,98 zł – obecnie wynoszą 61 375 747,96 zł, w tym:
-
dochody bieżące: 55 687 001,48 zł,
-
dochody majątkowe: 5 688 746,48 zł.
-
-
Wydatki: zmniejszono o 730 255,99 zł – obecnie wynoszą 67 027 935,84 zł.
-
Deficyt budżetu: 5 652 187,88 zł, zostanie sfinansowany m.in. wolnymi środkami i kredytami.
Zmiany szczegółowe
1. Dochody i wydatki bieżące
-
Zwiększenie planu dochodów i wydatków OPS o:
-
190 289,00 zł – świadczenia rodzinne, fundusz alimentacyjny i zasiłki dla opiekunów.
-
2 640,00 zł – składki zdrowotne i zasiłek dla opiekuna.
-
158 161,00 zł – świadczenia zlecone przez wojewodę.
-
20 000,00 zł – pomoc materialna dla uczniów.
-
-
Zwiększenie planu SP Bojanowo o:
-
15 850,00 zł – dodatkowe zadania oświatowe dla uczniów z Ukrainy.
-
-
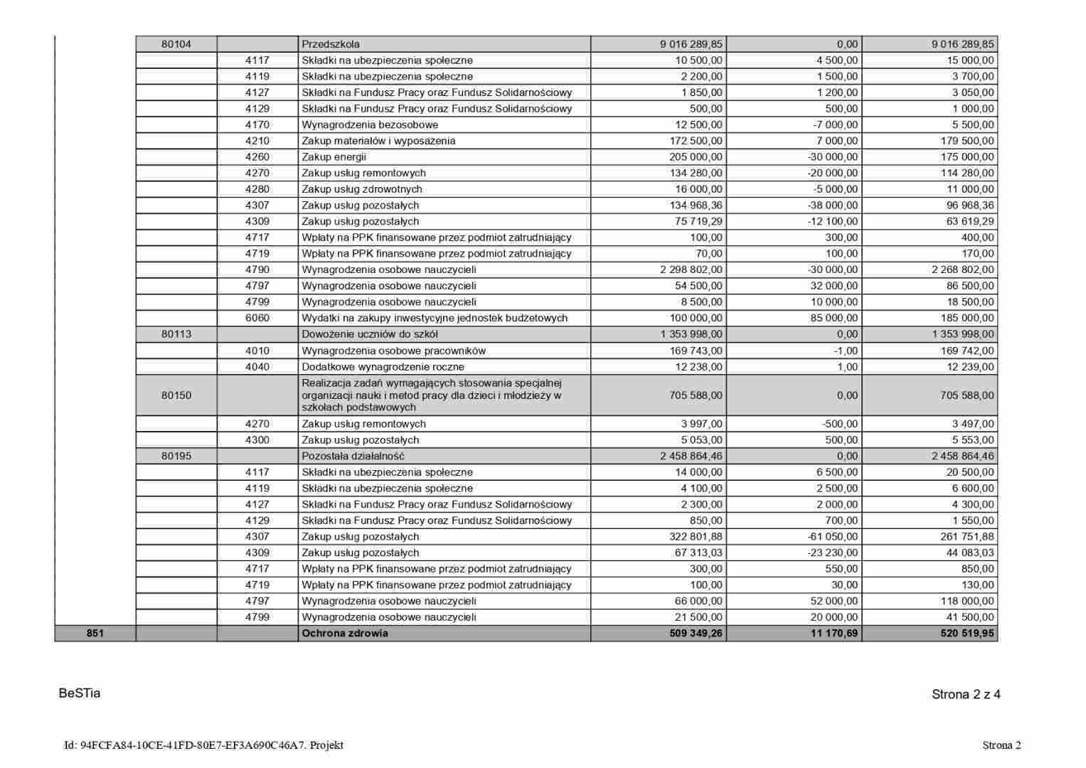
Wpływy z opłat za sprzedaż alkoholu w hurcie: 11 170,69 zł (na programy profilaktyczne).
2. Wydatki majątkowe (wybrane przykłady zmian)
-
Budowa garażu OSP Bojanowo – zmniejszono o 34 824,00 zł (do 465 176,00 zł).
-
Rozbudowa placu zabaw – Golina Wielka – zmniejszono o 13 000,00 zł (do 30 094,00 zł).
-
Budowa chodnika – Gołaszyn – zmniejszono o 6 850,00 zł (do 36 649,14 zł).
-
Modernizacja świetlicy w Zaborowicach – zmniejszono o 27 362,00 zł (do 13 638,00 zł).
-
Dotacje dla ZGKiM:
-
zakup ciągnika – zmniejszenie o 28 637,00 zł,
-
zakup wozu asenizacyjnego – zmniejszenie o 4 599,00 zł,
-
przebudowa pomieszczeń administracyjnych – zwiększenie o 33 236,00 zł.
-
-
Zakup garażu – sołectwo Golinka – nowe zadanie: 13 000,00 zł.
-
Zakup drukarki – urządzenia wielofunkcyjnego – nowe zadanie: 17 600,00 zł.
-
Zakup i montaż pieca – Przedszkole w Bojanowie – nowe zadanie: 85 000,00 zł.
3. Zadania współfinansowane ze środków zewnętrznych
-
„Edukacja równych szans” – plan dochodów: 289 341,02 zł, wykonanie: 333 624,43 zł.
-
„Kierunek – Przedszkole!” – plan dochodów: 230 051,04 zł, wykonanie: 269 954,74 zł.
-
„Cyberbezpieczny Samorząd” – plan dochodów: 683 070,00 zł, wykonanie: 204 921,00 zł.
